|
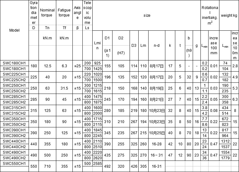
SWC-CH type coupling characteristics and application: connecting two different axes of the shaft drive, can not buffer, reduce vibration, using the overall fork structure, the bearing is fixed without bolts, avoid loose loosening of the bolt, easy to repair, extended use It has long life, high reliability, large bearing capacity and large inclination. It can work under the condition of β≤5°~25°. Suitable for rolling machinery, lifting and transportation, construction machinery, petroleum machinery and other heavy machinery. There are seven structural types to meet different installation types: BH type - standard telescopic welding type; BF type - standard telescopic flange type; DH type--short telescopic welding type; CH type - long telescopic welding type; WH type - no telescopic welding type; WF type - no telescopic flange type; WD type - no telescopic short type; ![]() ![]() |



